Anyukám is érteni fogja
Ha egy test mozog valamilyen közegben, akkor ahhoz, hogy befurakodjon a közeg helyére, energiára van szükség. Másképpen fogalmazva azt, ami kitölti a teret, arrébb kell löknünk. Nem mindegy milyen közegben mozgunk, például vízben lassabban tudunk járni, mert a víz közegellenállásra jóval nagyobb, mint a levegőé. A levegő sűrűsége pedig a tengerszint feletti magassággal változik jelentősen. A repülőgépek többek között ezért emelkednek 10 km-es magasságba – ott kevesebbet fogyasztanak.
Alaktényező – Cw
Talán nem okoz meglepetést, hogy minél áramvonalasabb egy tárgy, annál kisebb közegellenállás hat rá. (Mivel mi jó esetben levegőben próbálunk előre hatolni, engedjétek meg, hogy innentől a légellenállás szót használjam.) Az alaktényező gyakorlatilag azt mutatja meg, hogy a szembeszél erejének hány százaléka tolja „visszafelé” a járművet. A következő ábrán néhány téridom alaktényezője látható.

Nem mindegy a forma
Ha egy élére állított lapot tolunk a levegőben, akkor a hátfelületen képződő turbulenciák miatt 100 százaléknál is nagyobb ellenállást mérhetünk. Ha a hátoldalt lekerekítjük, akkor kb. 1-es Cw értékkel számolhatunk. A természet tudja a fizikát, ezért a lefelé hulló esőcseppnek van a legkedvezőbb légellenállása, ha ilyen autókat lehetne gyártani, akkor a fogyasztás egyből töredék részére csökkenne…

Az autóknál az a helyzet, hogy homlokfelületük eltérő mértékben döntött síkokból áll. (Jó, nem csak síkokból, de egyszerűsítsünk most így.) A járművek tervezésekor nagy figyelmet fordítanak a jó légellenállásra, ezért szélcsatornában tesztelik őket. A légáramlatot „füsttel” színezik, hogy szabad szemmel is jól látható legyen az áramlás iránya.

A Babybenz a szélcsatornában
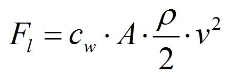
Sajnos ennek a témának a tárgyalását nem ússzuk meg egy jó kis képlet nélkül. Az erő (F), ami a járművünkre hatni fog (mégpedig a haladás irányával ellentétesen) négy tényezőtől függ. Az első a jármű homlokfelületének nagysága, a második a már említett légellenállási- vagy alaktényező, harmadik a közeg (levegő) sűrűsége, végül, de elsősorban pedig a közeg járműhöz viszonyított sebessége. Ebből csak a sűrűség az, amire semmilyen formában nincsen ráhatásunk, a többiben azért mi is ott vagyunk.

A légellenállás képletében:
F - a járműre ható erő
Cw – légellenállási tényező
ρ- a levegő sűrűsége
V – a jármű sebessége
A – jármű homlokfelülete.
A járműgyárak generációról generációra javítanak a Cw értékeken. Jó példája ennek az immár 40 éves múltra visszatekintő VW Golf család. 1974-ben a Golf I. 0,42-es értéket tudott produkálni. Aztán rendre csökkent ez a szám. (Golf II. 0,34, - Golf III. 0,32 - - Golf VII. 0,27) Nyilván a jármű karosszériájának jellege határt szab a légellenállás csökkentésének, azért egy lapos sportkocsiban több az ilyen jellegű tartalék. (Majdnem elfelejtettem, hogy a karosszéria elemek érdessége is befolyásolja a légellenállást – emlékszünk a betiltott csoda úszódresszekre? Na, azokkal éppen a felületi érdességük miatt lehetett gyorsabban úszni!)
Ha visszatekintünk a képletre, láthatjuk, hogy a sebesség négyzetre van emelve. Tehát kétszer akkora sebességhez, négyszer akkora légellenállás járul. Ha diagramon ábrázoljuk a dolgot, akkor láthatjuk, hogy exponenciálisan növekedik a járműre ható erő.

A diagramon látható görbe a fenti képletbe behelyettesített adatokból rajzolódott ki. 0,3-as Cw-t, 3 négyzetméteres homlokfelületet és a szokásos 1,204 km/m3-es sűrűséget vettük figyelembe. Az értékek önmagukért beszélnek. 100-as tempónál 418 N (Newton) erő hat ellenünk (mintha 43 kg-ot tartanánk), 130-nál ugyanez az érték 707 N!!! Csaknem 70%-al nő meg a légellenállás. Na, ez az oka annak, hogy a hypermiler-ek 100-al mennek az autópályán is.
Mit tehetünk?
Mindenekelőtt járművásárláskor nézzük meg a Cw értéket is. Az interneten a típusismertetők garmadája található, ne feledjük minél kisebb ez az érték, annál jobban járunk. Aztán ott van még a homlokfelület. Ha nem muszáj, ne vegyünk Ikarus 200-as formára hajazó autót! A légellenállás tényezője is az egeket verdesi és minél nagyobb a homlokfelület, annál nagyobb lesz a légellenállás. Ismét elsüthetem a közhellyé silányult jó tanácsomat: nagy autó, nagy költség.
Lassabban!
Tényleg hova rohanunk? Aki nyaralni megy a Balatonra, vagy a nagyit látogatja, mondjuk Nyíregyházán, az kis országunkban legfeljebb 200 km-t utazik autópályán Ha 100-al megyünk, akkor ez két órát igényel, ha 130-al, akkor csak másfelet. Ezért a fél óráért azonban mélyen a zsebünkbe kell nyúlni. Akár 1000 forintot is spórolhatunk csupán azzal ezen a 200 km-en, hogy lassabban megyünk. Ezt aztán a Balcsinál elkölthetjük egy finom fagylaltra, vagy jegeskávéra.

Le vele!
Le a felesleges dolgokkal
Aki a téli kikapcsolódáshoz tetőboxot szokott feltenni, sokszor csodálkozik, hogy az amúgy elfogadható fogyasztás jócskán megnőtt. Hát persze! Lerontottuk a kocsi légellenállási tényezőjét, plusz még óriási terhet cipelünk. Legrosszabb volt a Gorenje korszak, a hűtőládáknak rettentő rossz Cw értékük van. Azt javasoljuk, hogy ha már nem kell a tetőcsomagtartó, még a rudakat is szereljük le, semmi felesleges dolgot ne hagyjunk a kocsin.
Emésztgessük kicsit a dolgot, aztán csütörtökön folytatjuk a spórolást, de akkor már egy kis vezetéstechnikai következik.
