Anyukám is érteni fogja
Múlt héten belevágtunk a forgalmi engedély adatainak értelmezésébe, rendszámokat és dátumokat boncolgattunk. Megyünk tovább.
A jobb szemléltetés kedvéért beszereztem egy okmány mintát. Ahogyan a múlt héten említettem az legújabb forgalmi engedélyeken már nem „MAGYAR KÖZTÁRSASÁG”, hanem „MAGYARORSZÁG” felirat látható, de a többi része nem változott.

Majdnem hatályos, csak már MAGYARORSZÁG felirat van legfelül
A D.1 és D.2 mezőkben találjuk az autónk gyártmányát és típusát. Álljunk meg egy szóra! Igazságügyi szakértőként rengeteg forgalmi engedélyt néztem már meg, és nem egy esetben volt pontatlan, illetve hiányos ez a bejegyzés. Például a legkevesebb esetben van feltüntetve a jármű felszereltségi csomagjának a neve, pedig egyáltalán nem mindegy, hogy a legalacsonyabb, vagy a legmagasabb gyári felszereltségi szintű a kocsi. Zongorázni lehet a különbséget egy alap- és egy magas felszereltségű jármű között. Más szóval százezrek vannak két megnevezés között.
Ennek kiküszöbölésére a legelterjedtebb járműértékelő program az Eurotax által azonosításra használt úgy nevezett Eurotax kódnak is létrehoztak egy mezőt. Ezt a mezőt az első lap jobb felső sarkában találjuk, közvetlenül az okmány sorszáma alatt. Még soha életemben nem láttam olyan forgalmit, amiben ez ki lett volna töltve. Érthető, hiszen a jármű Eurotax besorolásával a szakértők is sokat bíbelődnek, ki merné felvállalni a felelősségét annak, hogy pl. egy jármű értékelésénél a forgalmiban talált kód alapján határozzák meg az árat. Magánvéleményem, hogy a nyomtatványból ezt a mezőt más okok miatt is törölni kellene, pláne, hogy nem is használják.
Mi hajtja?
A következő részben, de még mindig az első oldal felső harmadában találjuk a motorra vonatkozó adatokat. A hengerűrtartalom fontos adat. Némelyik adónem kiszabásakor is ezt nézik, eredetiségvizsgán is eszerint állapítják meg a díjat, sőt ennek függvényében kapják a járműhasználat utáni térítést a munkavállalók. (Az adóhatáóság által elfogadott fogyasztási értékek a hengerűrtartalom alapján kerültek besorolásra.) Az adatot köbcentiméterben adják meg. Hogyan adódik ez az érték?
Amikor a motorok működését tárgyaltuk, megbeszéltük, hogy az égési folyamat a hengerben megy végbe. Ebben a hengerben egy dugattyú jár föl s alá. Amikor a dugattyú az alsó holtpontban van, akkor a legnagyobb a felette lévő térfogat. Egy henger térfogatát úgy számíthatjuk ki, hogy az alapterületét megszorozzuk a magasságával. A motor hengerének így két adatát használjuk fel.
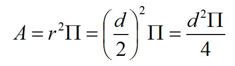
A furat méret gyakorlatilag a henger átmérőjét jelenti, a lökethossz pedig a magasságát.

...ahol "A" terület, "d" az átmérő
Ezt az „A” értéket már csak meg kell szoroznunk a lökethosszal és máris megkaptuk egy henger űrtartalmát. (Minden hosszmértékegységet centiméterben számolva, az eredmény köbcentiméter lesz.) Még egy szorzás a hengerek számával és kész. Összehasonlításként például egy 2000 cm3-es motor összesen akkora űrtartalmú, mint egy kétliteres palack. (1 liter = 1000 cm3)
A teljesítményekről is esett már szó, tudjuk, hogy a forgalmi engedélyben nem a népszerű lóerő kerül be, hanem a teljesítmény SI-mértékegysége a kilowatt. A bejegyzést a P.1 mezőben láthatjuk. Műszakilag a forgalmi engedélyben helytelenül van feltüntetve a mértékegység rövidítése, mert a kilo- előtag (prefixum) kisbetűvel írandó, helyesen tehát kW, az okmányokban pedig rendre KW-ot láthatunk. (Már elnézést a szőrözésért!)
P.3 pont alatt olvashatjuk a motor által használt tüzelőanyag fajtáját, ami lehet benzin, dízel, benzin gáz, stb.
Tudom, hogy kimaradt még ez-az a magyarázatból, de ugorjunk most az „R” pontra, ahol a jármű színét láthatjuk (kiírva). Jellemzően az Európai Uniós csatlakozásunk előtt a színek feltüntetésében alig volt megkötve a hatóság keze. Erről aztán az jutott eszembe, hogy a férfiak és a nők némiképp máshogyan különböztetik meg a színeket.

Az egyszerűség kedvéért
A fantázianevek helyett már jó ideje egy előre meghatározott listából kell kiválasztani a jármű a színét, amely összesen 10 féle lehet: fehér (01), sárga (02), narancs(03), piros (04), bíbor/lila (05), kék (06), zöld (07) , szürke (08), barna (09), fekete (10). Így fordulhatott elő szüleim autójával, hogy a szalonban boleró vörös fantázianévre hallgató, amúgy bordó autó, a forgalmiban szimplán pirosként szerepel.

-Anya, ez milyen gyümölcs?
-Kékszilva.
-Akkor miért piros?
-Mert még zöld.
Arról már kár is beszélni, hogy jómagam színtévesztőként a különböző pasztell árnyalatokat nem is nagyon tudom megkülönbözetni, ezért sokszor én is csak papírból tudom, hogy milyen színű az autó, ami előtt állok! :)
Meddig autózhatunk?
Mai vizsgálatunk végén, a forgalmi második oldalán található nagyon fontos bejegyzéssel, a műszaki érvényességgel foglalkozunk. A műszaki érvényességi idő az az időpont, ameddig járművünkkel részt vehetünk a forgalomban. Az új személygépjárművek 4 évig megfelelőek, vagyis feltételezi a törvényalkotó, hogy a gyártást követő 4 évben nem áll elő semmilyen olyan műszaki probléma, amely miatt a jármű nem felelne meg. A négy év leteltével újra vizsgáztatni kell a járművet, de innentől már csak 2 évre kapjuk meg a műszakit.
A forgalmi engedélybe ragasztott műszaki érvényességi matricák, szigorú elszámolású bélyegek. Az lejárat évszámát jelző kétjegyű szám minden évben más és más színben pompázik, pl. a 2015-ös évben lejáró műszaki engedélyek matricáján a szám pirosas-rózsaszín. (ha jól látom…) Ezen kívül találunk még egy összesen 9 számjegyből álló sorszámot. Ugyanez a szám jelenik meg a hátsó rendszámra felragasztott matricán is, ezek tehát egymáshoz rendelt azonosítók. A rendszámon lévő matrica színe is árulkodik a lejáratról, amikor a rendőrautó jó közel jön hozzánk, elég ha a színét és a helyzetét látja a matricának. Egy „tavalyi” színű matrica már elég jó ok arra, hogy megállítson.
Most mindenki nézze meg ezt a dátumot, és vészesen közeledik az időpont, akkor kezdjünk el vizsgahelyet keresni. Hogy mit vizsgálnak a műszakin, az egy másik cikkre tartozik, de ami késik nem múlik, ezt is részletesen megbeszéljük majd.
Csütörtökön végre elérkezünk a járművek egyedi azonosítóihoz. Alváz- és motorszámok jönnek minden mennyiségben.
