szakértő
Karácsony előtt érdekes kérdést feszegető olvasói levél érkezett a szerkesztőségünkbe. István levele így hangzott:
„Egyszerű kérdésemmel reményeim szerint nem leszek terhükre! Ha módjukban áll, kérem szépen, érdemben válaszoljanak rá!
120km/órával haladó gépjármű A ponttól fékezve mekkora sebességgel halad át B ponton, vagy ütközne B ponton elhelyezett tárgynak, ahol A ponttól 100km/órával haladó gépjármű, éppen megáll az ütközés előtt?
Nyilván nem 20km/óra!
Energiaszámítással E=m*v2 (ebben a programban nem tudom a felső indexet) törvényből kiszámítva, tömeg azonossága mellett a sebesség négyzetkülönbségéből hatalmas sebesség eredmény jön ki. 120*120-100*100=4400, aminek négyzetgyöke 66,33km/ó sebességgel csapódik ugyanolyan fékhatás mellet az autó a tárgyba, ami előtt 100km/órával haladó gépjármű éppen megáll! Félelmetes, de igaz?”
Én személy szerint nagyon örülök neki, hogy olvasóink bizony gondolkodnak is, és a józanészre, no meg némi matematikára támaszkodva sejtik, érzik, hogy nagyon nem mindegy mennyivel megy az ember. Mondhatnék most egy körülbelüli értéket, amivel röviden le is zárhatnánk az ügyet, de úgy gondolom, ha már megtisztelt bennünket az olvasó a kérdésével, érdemes részletesen áttekinteni a vonatkozó összefüggéseket. Nem ígérem, hogy egyszerű lesz, de remélem sikerül érthetően válaszolni.
Fontos: Egy konkrét ügyben felmerülő hasonló kérdéssel a szakértő nem tudna mit kezdeni, ugyanis nagyon hiányos a kiinduló adathalmaz. Nem mindegy, hogy féktávolságot, vagy fékutat számítunk, továbbá ismernünk kell a pontos útviszonyokat, a gépjármű(vek) paramétereit, műszaki állapotát stb. hogy válaszolni tudjunk. A számításokban a hiányzó adatokat fiktív (de reális) adatokkal pótoljuk. A mellékelt számítási metódus tájékoztató jellegű, az esetleges hibákért felelősséget nem vállalunk.
István számítása
Nos, ami a végeredményt illeti, az nem is annyira rossz, sőt igen közel van az igazsághoz. Nagyon jó az a gondolatmenet, hogy a lassulások számításához nem elegendő egy kivonás, hanem az energiatörvényekből kell kiindulni. Van azonban egy bökkenő, mégpedig a mértékegységek helyes használata. Tekintettel arra, hogy óránként kilométerben kifejezett sebességi érték (km/h) nem szabványos mértékegység, nyilvánvaló, hogy az egyenleteinkbe ebben a formában nem behelyettesíthető. A sebességet (1) másodperc alatt megtett méterek formájában kell használni, vagyis m/s-ban. A mozgási energia képletében még van egy felezés is, lássuk tehát, hogyan alakul az
Energiamérleg

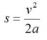
Az egyenlet bal oldalán munka, a jobb oldalán mozgási energiák szerepelnek. Azért lesznek egyenlőek, mert a súrlódási munka fogja "biztosítani" a sebességcsökkenést. Ha nincs ütközés, akkor a Vütk értéke 0, tehát a teljes mozgási energia hővé alakul a súrlódás során. A súrlódási munka képletében szereplő „mű x g” gyakorlatilag az elérhető legnagyobb átlagos lassulást jelenti, ahol „mű” a tapadási tényező, vagyis az útviszonyokat leíró paraméter. A lassulást „a”-val jelöljük, és most értékét a magasnak mondható, 7,5 m/s2-es értékre választjuk. Ez az érték megfelel egy száraz útviszonyok között, jó állapotú gumiabronccsal és fékrendszerrel rendelkező jármű lassulásának. Tehát a fenti egyenletből (megállást feltételezve) kifejezzük a megálláshoz szükséges út hosszát ami:

Ez az a képlet, amelynek a fontosságát nem lehet elégszer hangúlyozni. A sebesség itt négyzetesen szerepel, vagyis, kétszer akkora sebesség mellé négyszer akkora fékút tartozik!!! Gyorsan helyettesítsük is be a kérdésben szereplő értékeket, de figyeljünk oda rá, hogy a km/h-ban adott sebességadatot m/s-ban kell használni. Az átváltás egyszerű:

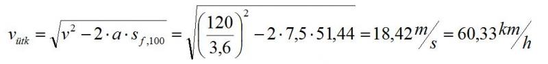
Behelyettesítéssel így fest a dolog:

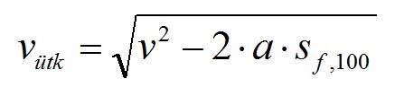
Tehát jó körülmények között 100-ról kicsivel több mint 51 méteren állíthatjuk meg az autót. A kérdés logikáját követve adódik, hogy ez az út áll rendelkezésére a 120 km/h-ás sebességről fékező járműnek is, ami nyilvánvalóan nem fog tudni megállni: abban a pontban ahol a 100-as kocsi már áll, ez még bőven gurul. Ha itt lenne egy akadály, akkor annak valamilyen sebességgel nekiütközik, vagyis az energiaegyenletünk utolsó tagjában az ütközési sebesség (Vütk) nullánál nagyobb. Ha az energiaegyenletből az ütközési sebességet fejezzük ki, akkor a következő képletet kapjuk:

Ez már megadja a választ az olvasó kérdésére, csak be kell helyettesítenünk a megfelelő értékeket, persze megfelelő mértékegységben.

Valami hiányérzetem van
A kérdés megválaszolását itt be is fejezhetnénk, hiszen van eredményünk. Félelmetes és igaz is, de valami nagyon fontos dolog kimaradt a számításból!
Ha egy tesztpályán, úgymond laboratóriumi körülmények között vizsgálódnánk, és egy felfestett vonalnál kezdene fékezésbe a két kocsink (pontosan ugyanott, pontosan ugyanakkora lassulással stb..) akkor jó lenne ez a válasz, de a való életben egy akadály megpillantásakor nem kezdünk el azonnal lassulni. Mert nem gépek vagyunk, hanem emberek és a szervezetünknek időre van szüksége ahhoz, hogy felfogja, hogy mi történik, aztán cselekedjen. Az észlelés és a tényleges cselekvés között eltelt időt reakcióidőnek hívjuk, ami átlagosan 0,8 másodperc körül alakul. Autóink sem digitális masinák, a maximális fékezőerő kialakulása is időbe telik. Ezt az időt fékfelfutási időnek hívjuk, és egy korszerű járműben ez kb. 0,2 másodperc. Persze ezeknél az értékeknél valaki gyorsabb, vagy lassabb is lehet, sőt az autók is különbözőek, de az egyszerűség kedvéért most összevonva mondjuk azt, hogy a reakcióidő 1 szekundum környékén alakul.

Amivel eddig foglalkoztunk az az ábrán pirossal jelölt fékút volt, de egy utcai (autópályás) szituációban a megálláshoz szükséges távolság a fekete színnel jelölt féktávolság.
Ezért amit eddig kiszámoltunk az csak elméleti síkon működik, a valóságban biztosan nem! Most kell csak igazán megkapaszkodni, mert megvizsgáljuk, hogy a reakcióidő alatt megtett utat is figyelembe véve, azonos pontról észlelve, mekkora lesz az ütközési sebesség, vagyis az ábrán berajzolt akadályt – amit most egy gyalogos szimbólum jelöl – mennyivel gázolja el a 120 km/h-val haladó gépkocsi.
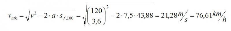
A 100-as kocsi fékútját már tudjuk, ehhez kell hozzáadni a reakcióidő alatt megtett utat. Mivel a 100-as autó egy másodperc alatt 27,77 métert tesz meg, a féktávolság a két út össze, vagyis 51,44+27,77=79,21 méter lesz. (Ilyen messze van a jármű az akadálytól.)
Mivel ugyanott észlel a két sofőr, ez a 79 méter áll rendelkezésére a 120-as autónak is. Csakhogy emberünk 1 másodperc alatt 120-al haladva (nem 27,77 métert, hanem) 33,33 métert halad. A teljes rendelkezésre álló útszakaszból ennyit fékezés nélkül tesz meg! Ezért effektív lassulást, csak 77,21-33,33=43,88 méteren tud produkálni.
Újra elővesszük az előző, jó hosszú képletet, de most az „s” úthossz helyét megváltoztatjuk az előbb kiszámolt értékre:

HOPPÁ! 76 km/h! És ez a realitás! Amíg 100-ról sikerült megállítani a gépkocsit, 120-ról 76-al ütközünk, vagy gázolunk, amit sem autósnak, sem gyalogosnak nem kívánok!
Kedves István!
Remélem, hogy sikerült kimerítő és érthető választ adni a kérdésére. Hozzá kell még tennem, hogy több kisebb tényezőt is elhanyagoltunk a fenti számításban, de ezek nagyságrendje csekéj, ezért kérem értse meg, hogy nem integrálom ki pl. a sebességkülönbség miatt adódó légellenállási erőket...
Fontos látni, hogy a mindennapi autózás közben egy csekély kis sebességtúllépés is végzetes következményekkel járhat. A számítás analógiájára elvégezhetjük a városi sebességkorlátozások vizsgálatát is. Nem bajlódok újra a számokkal, de amíg a szabályosan, 50 km/h-val haladó jármű megáll egy akadály előtt, azonos körülmények között 60-ról észlelve több mint 40 km/h-val fogunk ütközni, ami – talán érezhető – egyáltalán nem mindegy.
Tisztelettel:
Rusznák András
Igazságügyi műszaki szakértő

